La OMT y el sistema de las Naciones Unidas ONU Turismo

Portal UNTERM. UNTERM es una base de datos multilingüe de terminología oficial relacionada con la labor de las Naciones Unidas. Se trata de un sitio web público que utilizan las delegaciones y el personal de la Organización, así como otras personas interesadas en la labor y las actividades de las Naciones Unidas en todo el mundo.
Base de datos sobre compromisos Naciones Unidas y el Estado de Derecho

La base de datos ofrece un punto de partida para organizar los conocimientos existentes sobre agroecología, mediante la recopilación de artículos, vídeos, estudios de casos, libros y material importante de otros tipos en un único lugar. El objetivo es prestar apoyo a los encargados de formular las políticas, los agricultores, los.
Organigrama de las naciones unidas.pdf Naciones Unidas Política
La base de datos ofrece un punto de partida para organizar los conocimientos existentes sobre agroecología, mediante la recopilación de artículos, vídeos, estudios de casos, libros y material importante de otros tipos en un único lugar.. (IPBES), auspiciada por Naciones Unidas, se ha basado en el desempeño voluntario de cientos de.
La Carta De Garcia Resumen Sample Site v

Pregunta a DAG: base de datos de preguntas frecuentes relacionadas con la documentación de las Naciones Unidas, la Biblioteca Dag Hammarskjöld y la Organización.
Inauguración de la base de apoyo de Naciones Unidas en Quart de Poblet

Bases de datos y estadísticas. Portal de datos esenciales; Más datos;. Unimos a las personas y las naciones a través de la educación, la cultura y la ciencia. En resumen. Entender nuestro mandato.. La UNESCO es el Laboratorio de Ideas de las Naciones Unidas. Encuentre las últimas ideas, publicaciones e informes. Laboratorio de ideas.
United Nations Naciones Unidas Techno Points Chile

Base de datos en línea sobre la implementación de los ODS en el sistema de las Naciones Unidas. En diciembre de 2017, el Departamento de Asuntos Económicos y Sociales (DAES) invitó a las entidades miembros del Comité Ejecutivo de Asuntos Económicos y Sociales, así como a las secretarías de las convenciones y las instituciones de.
Pin en Infografias

SAD es una base de datos de documentos oficiales publicados por las Naciones Unidas. El texto completo de los documentos es accesible, en formato PDF, en las seis lenguas oficiales de las Naciones Unidas - inglés, árabe, chino, español, francés y ruso. Los documentos están disponibles a partir del año 1993, y desde 1946 en el caso de.
La onu el sistema de las naciones unidas

LEGOSH - Base de datos mundial de legislación en materia de seguridad y salud en el trabajo: Primera fuente mundial de información sobre SST (en inglés). La OIT es un organismo especializado de las Naciones Unidas. Organización Internacional del Trabajo. 4 route des Morillons. CH-1211 Geneva 22. Suiza. Follow us on. Instagram
El Programa de las Naciones Unidas para el Desarrollo Programa de las
Calculado por la División de Estadística de las Naciones Unidas, a partir de índices nacionales. k : Datos se refieren hasta un período de 5 años, incluido el año de referencia. l : Datos a fines de diciembre. m : 2018: n : 2017: o : Los datos corresponden al 1 de enero del año del informe. p : Población de 10 años de edad o más.
Día de las Naciones Unidas, 5 datos por conocer

Programas y fondos (34,089) Instituciones de Investigación y Entrenamiento (4,191) Otros Órganos y Entidades de Naciones Unidas (23,158) Consejos para la búsqueda :: Búsqueda avanzada :: Búsqueda por autoridades. United Nations Digital Library System - United Nations Digital Library System.
La historia de Naciones Unidas Mapas de El Orden Mundial EOM

Databases. Las bases de datos multidisciplinares avanzadas constituyen herramientas útiles para los investigadores que trabajan en un tema específico. Puede accederse a ellas consultando nuestra.
El sistema de las Naciones Unidas

Acerca de los servicios de datos vinculados. La plataforma de servicio de datos vinculados de las Naciones Unidas es actualizada por la Biblioteca Dag Hammarskjöld. En este espacio se publicarán recursos adicionales a medida que se encuentren disponibles. Para más información no dude en contactarnos.
Guía para tu futuro Organización de las Naciones Unidas

ONU datos. Afganistán Asia meridional. Albania Europa meridional. Alemania Europa occidental. Andorra Europa meridional. Angola África central. Anguila El Caribe. Antigua y Barbuda El Caribe. Arabia Saudita Asia occidental.
Las Tics Programas de la Naciones Unidas para el Desarrollo.

El tablero de la población mundial presenta datos sobre fertilidad, paridad de género en la escuela, información sobre salud sexual y reproductiva, y mucho más. Juntos, estos datos destacan la salud y los derechos de las personas en todo el mundo, especialmente las mujeres y los jóvenes. Las cifras presentadas por el UNFPA y otros.
Principales órganos de la Organización de las Naciones Unidas Parte 2

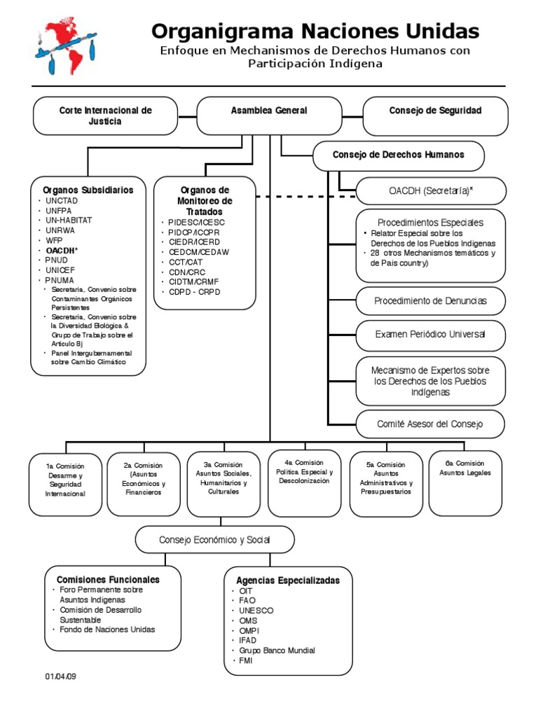
Da acceso a información y recomendaciones en materia de derechos humanos sobre cada país, emanadas de los mecanismos internacionales de derechos humanos del sistema de las Naciones Unidas: los órganos de tratados, los Procedimientos Especiales y el Examen Periódico Universal (EPU).
Organización de las Naciones Unidas Ediciones Bob

El Programa de las Naciones Unidas para el Medio Ambiente ofrece en su buscador más de 15.000 elementos, desde herramientas y plataformas de datos en tiempo real hasta informes clave, publicaciones, hojas informativas, historias interactivas y más.